当前位置: 网站首页 > 政务公开 > 大雁镇> 预决算及“三公”经费
索引号: 11152128011619474J/202310-00007 组配分类: 预决算及“三公”经费
发布机构: 大雁镇 主题分类: 综合政务 / 其他
名称: 2022年度内蒙古自治区呼伦贝尔市鄂温克族自治旗大雁镇人民政府部门决算公开 文号:
成文日期: 2023-10-26 发布日期: 2023-10-26
2022年度内蒙古自治区呼伦贝尔市鄂温克族自治旗大雁镇人民政府部门决算公开
发布时间:2023-10-26 来源:大雁镇 浏览次数: 字体:[ ]


2022年度内蒙古自治区呼伦贝尔市鄂温克族自治旗大雁镇人民政府部门决算公开













目录

第一部分部门概况

一、主要职能、职责

二、部门机构设置及决算单位构成情况

第二部分2022年度部门决算情况说明

一、收入支出决算总体情况说明

二、收入决算情况说明

三、支出决算情况说明

四、财政拨款收入支出决算总体情况说明

五、一般公共预算支出决算情况说明

六、一般公共预算基本支出决算情况说明

七、一般公共预算项目支出决算情况说明

八、财政拨款“三公”经费支出决算情况说明

九、政府性基金预算财政拨款支出决算情况说明

十、国有资本经营预算财政拨款支出决算情况说明

十一、项目支出决算情况说明

十二、机构运行经费支出决算情况说明

十三、政府采购支出决算情况说明

十四、国有资产占用情况说明

十五、预算绩效情况说明

第三部分名词解释

第四部分决算公开联系方式及信息反馈渠道

第五部分2022年度部门决算表

一、收入支出决算总表

二、收入决算表

三、支出决算表

四、财政拨款收入支出决算总表

五、项目收入支出决算表

六、一般公共预算财政拨款支出决算表

七、一般公共预算财政拨款基本支出决算明细表

八、一般公共预算财政拨款项目支出决算明细表

九、政府性基金预算财政拨款收入支出决算表

十、国有资本经营预算财政拨款支出决算表

十一、财政拨款“三公”经费支出决算表

十二、机构运行经费支出、国有资产占用情况及政府采购支出信息表





第一部分 部门概况

一、主要职能、职责

大雁镇党委为本镇的领导机关,大雁镇人民政府为国家基层政权组织,为正科级。

大雁镇党政机关的主要职责是:

(一)宣传和贯彻执行党的路线方针政策和党中央、上级党组织及本镇党员代表大会(党员大会)的决议。

(二)讨论和决定本镇经济建设、政治建设、文化建设、社会建设、生态文明建设和党的建设以及乡村振兴中的重大问题。需由镇政权机关或者集体经济组织决定的重要事项,经镇党委研究讨论后,由镇政权机关或者集体经济组织依照法律和有关规定作出决定。

(三)领导镇政权机关、群团组织和其他各类组织,加强指导和规范,支持和保证这些机关和组织依照国家法律法规以及各自章程履行职责。

(四)加强镇党委自身建设和社区党组织建设,以及其他隶属镇党委的党组织建设,抓好发展党员工作,加强党员队伍建设。维护和执行党的纪律,监督党员干部和其他任何工作人员严格遵守国家法律法规。

(五)按照干部管理权限,负责对干部的教育、培训、选拔、考核和监督工作。协助管理上级有关部门驻镇单位的干部。做好人才服务和引进工作。

(六)领导本镇的基层治理,加强社会主义民主法治建设和精神文明建设,加强社会治安综合治理,做好生态环保、美丽乡村建设、民生保障、脱贫致富、民族宗教等工作。

(七)执行本级人民代表大会的决议和上级国家行政机关的决定和命令,发布决定和命令。

(八)执行本行政区域内的经济和社会发展计划、预算,管理本行政区域内的经济、教育、科学、文化、卫生、体育事业和财政、民政、公安、司法行政、计划生育等行政工作。

(九)保护社会主义的全民所有的财产和劳动群众集体所有的财产,保护公民私人所有的合法财产,维护社会秩序,保障公民的人身权利、民主权利和其他权利。

(十)保护各种经济组织的合法权益。

(十一)完成旗委、旗政府交办的其他工作。

二、部门机构设置及决算单位构成情况

1.根据部门职责分工,本部门内设机构包括:党政综合办公室、基层党的建设办公室、乡村振兴办公室、社会事务办公室、平安建设办公室、城市管理办公室,另设人民武装部。本部门下属单位包括:鄂温克族自治旗大雁镇综合保障和技术推广中心、鄂温克族自治旗大雁镇党群服务中心、鄂温克族自治旗大雁镇综合行政执法局。以上单位财务核算业务由大雁镇人民政府统一管理。

2.从决算单位构成看,纳入本部门2022年部门汇总决算编制范围的预算单位共计5家,具体包括:鄂温克族自治旗大雁镇人民政府、鄂温克族自治旗大雁镇党群服务中心、鄂温克族自治旗大雁镇综合保障与技术推广中心、鄂温克族自治旗大雁镇综合行政执法局、鄂温克族自治旗大雁镇后勤服务中心。详细情况见表:

序号

单位名称

单位性质

1

鄂温克族自治旗大雁镇人民政府

财政拨款的行政单位

2

鄂温克族自治旗大雁镇党群服务中心

公益一类事业单位

3

鄂温克族自治旗大雁镇综合保障与技术推广中心

公益一类事业单位

4

鄂温克族自治旗大雁镇综合行政执法局

公益一类事业单位

5

鄂温克族自治旗大雁镇后勤服务中心

公益一类事业单位

三、2022年度部门主要工作完成情况

本年度我镇主要开展工作情况及成效:
2022年全年实现工业总产值196771.26万元,同比增长8.20%,经济运行呈现稳中加固、稳中向好、稳中提质的良好态势。2.有序推进大雁矿区资源枯竭接续替代基础设施的建设。3.有序推进已垦林地草原生态修复工作,全面清理拆除在镇内公共区域私自开垦的菜园子及其围挡设施,共计拆除圈地栅栏约4.5万延长米及400余处板房,确保有效整治园子地种植情况。自2020年至2022年,我镇共计完成退耕修复1002块图斑,修复面积7.0435万亩。4.积极推进市政环卫服务建设;规范室外农贸市场管理,建立占地8000多平方米民生市场1个,更好满足居民生活需求;开展镇内自建房安全专项排查、整治工作,依法依规对镇内805户自建房,面积110724平方米进行排查摸底;完成五期棚户区改造工作,百姓住房条件大幅提升;有序推进市政及“三供一业”维修改造工程收尾工作,对下水管网断裂、供热管网腐蚀等紧急情况进行抢修,有效解决居民供暖、供水等诉求,解决居民供水供热维修抢修等民生事项50余起,协调企业解决居民反映的“三供一业”问题202件;认真筹备雁南道路硬化前期勘察设计、项目储备,推进垃圾填埋厂项目初设工作以及氧化塘人行道、路灯建设等工作,城市管理水平不断提升。5.民生事业落到实处,落实各项惠民政策,社会保障体系覆盖面进一步扩大,新增上报审批计划生育家庭特别扶助15户、21人,2022年发放各类救助金共计2453.63万元;规范社会救助工作,对低保人员实行动态管理,清退低保人员238人;对镇内公共广场、路面、社区办公场所进行维修,完成社区搬迁工作,扩充社区队伍力量,卫生院项目建成并投入使用,公共服务水平有效提升。


第二部分 2022年度部门决算情况说明

一、收入支出决算总体情况说明

内蒙古自治区呼伦贝尔市鄂温克族自治旗大雁镇人民政府部门2022年度收入、支出决算总计5,607.43万元。与年初预算相比,收、支总计各增加782.95万元,增长16.23%,变动主要原因: 一是偿还大雁镇2017年棚户区改造三期银行贷款本金及利息资金追加812.87万元;二是2021年度调标、基础绩效奖录入工资,人员工资及社保费增加,追加人员经费812.92万元。与上年决算相比,收、支总计各增加1,218.41万元,增长27.76%。增加主要原因为: 一是偿还大雁镇2017年棚户区改造三期银行贷款本金及利息资金追加812.87万元;二是2021年度调标、基础绩效奖录入工资,人员工资及社保费增加,追加人员经费812.92万元;三是大雁镇垃圾清运费112.25万元。

(一)收入决算总计5,607.43万元。包括:

1.本年收入决算合计5,330.95万元。与上年决算相比,增加1,209.6万元,增长29.35%,变动原因: 一是偿还大雁镇2017年棚户区改造三期银行贷款本金及利息资金追加812.87万元;二是2021年度调标、基础绩效奖录入工资,人员工资及社保费增加,追加人员经费812.92万元。

2.使用非财政拨款结余0万元。与上年决算相比,增加0万元,增长0%,变动原因:不存在此项内容。

3.年初结转和结余276.48万元。与上年决算相比,增加8.8万元,增长3.29%,变动原因:旗民政拨入社区建设经费,旗统计局拨入八有八化普查工作经费未支出。

(二)支出决算总计5,607.43万元。包括:

1.本年支出决算合计5,375.07万元。与上年决算相比,增加1,262.52万元,增长30.7%,变动原因: 一是偿还大雁镇2017年棚户区改造三期银行贷款本金及利息资金追加812.87万元;二是2021年度调标、基础绩效奖录入工资,人员工资及社保费增加,追加人员经费812.92万元;三是大雁镇垃圾清运费112.25万元。

2.结余分配0万元。结余分配事项:无。与上年决算相比,增加0万元,增长0%,变动原因:不存在此项内容。

3.年末结转和结余232.37万元。结转和结余事项:其他应付款203.05万元;两新党组织1.7万元;综治经费2.2万元;社区经费6.4万元;公证处经费10.3万元;因疫情原因未及时缴纳的社保费。与上年决算相比,减少 44.11万元,减少-15.95%,变动原因:部分维修工程审计完成,拨付进度款。


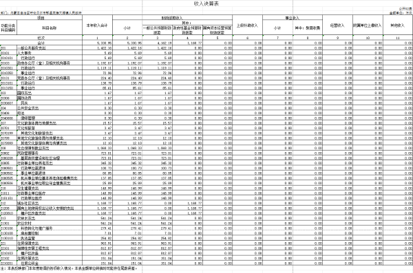
二、收入决算情况说明

内蒙古自治区呼伦贝尔市鄂温克族自治旗大雁镇人民政府部门2022年度本年收入决算合计5,330.95万元,其中:

本年一般公共预算财政拨款收入4,162.19万元,占78.08%;

本年政府性基金预算财政拨款收入1,169万元,占21.92%;

本年国有资本经营预算财政拨款收入0万元,占0%;

本年上级补助收入0万元,占0%;

本年事业收入0万元,占0%;

本年经营收入0万元,占0%;

本年附属单位上缴收入0万元,占0%;

本年其他收入0万元,占0%。



图1.收入决算图



三、支出决算情况说明

内蒙古自治区呼伦贝尔市鄂温克族自治旗大雁镇人民政府部门2022年度本年支出决算合计5,375.07万元,其中:

本年基本支出4,206.3万元,占78.26%;

本年项目支出1,168.77万元,占21.74%;

本年上缴上级支出0万元,占0%;

本年经营支出0万元,占0%;

本年对附属单位补助支出0万元,占0%。







图2.支出决算图



四、财政拨款收入支出决算总体情况说明

内蒙古自治区呼伦贝尔市鄂温克族自治旗大雁镇人民政府部门 2022年度财政拨款收入、支出决算总计5,607.43万元,与年初预算相比,收、支总计各增加782.95万元,增长16.23%,变动原因:一是偿还大雁镇2017年棚户区改造三期银行贷款本金及利息资金追加812.87万元;二是2021年度调标、基础绩效奖录入工资,人员工资及社保费增加,追加人员经费812.92万元。与上年决算相比,收、支总计各增加1,362.65万元,增长32.1%,变动原因:一是偿还大雁镇2017年棚户区改造三期银行贷款本金及利息资金追加812.87万元;二是2021年度调标、基础绩效奖录入工资,人员工资及社保费增加,追加人员经费812.92万元;三是大雁镇垃圾清运费112.25万元。

五、一般公共预算支出决算情况说明

内蒙古自治区呼伦贝尔市鄂温克族自治旗大雁镇人民政府部门2022年度一般公共预算财政拨款支出决算4,206.3万元。与年初预算3,488.58万元相比,完成年初预算的120.57%。其中:

(一)一般公共服务(类)

一般公共服务类决算数为1,466.24万元,与年初预算相比减少442.16万元。其中:

1.人大事务(款)行政运行(项)。年初预算 11.72 万元,支出决算 5.69 万元,完成年初预算的 48.55 %。决算数与年初预算数的差异原因:按上级文件要求严格控制支出。

2.政协事务(款)行政运行(项)。年初预算 1 万元,支出决算 0 万元,完成年初预算的 0 %。决算数与年初预算数的差异原因:未支出。

3.政府办公厅(室)及相关机构事务(款)行政运行(项)。年初预算 1611.55 万元,支出决算 1163.19 万元,完成年初预算的 72.18 %。决算数与年初预算数的差异原因:一是按上级文件要求严格控制支出;二是人员调整变动。

4.政府办公厅(室)及相关机构事务(款)事业运行(项)。年初预算 72.23 万元,支出决算 72.96 万元,完成年初预算的 101.01 %。决算数与年初预算数的差异原因:主要原因为人员调整变动。

5.党委办公厅(室)及相关机构事务(款)行政运行(项)。年初预算 107.23 万元,支出决算 138.79 万元,完成年初预算的 129.43 %。决算数与年初预算数的差异原因:主要原因为人员调整变动。

6.党委办公厅(室)及相关机构事务(款)事业运行(项)。年初预算 104.68 万元,支出决算 85.61 万元,完成年初预算的 81.78 %。决算数与年初预算数的差异原因:主要原因为人员调整变动。

(二)公共安全(类)

公共安全类决算数为0.3万元,与年初预算相比减少9.71万元。其中:

司法(款)律师管理(项)。年初预算 10.01 万元,支出决算 0.3 万元,完成年初预算的 3 %。决算数与年初预算数的差异原因:因机构改革公证处不在本部门核算,0.3万元支出为2021年度零星增资补发。

(三)社会保障和就业支出(类)

社会保障和就业支出类决算数为1,059.09万元,与年初预算相比增加174.6万元。其中:

1.行政事业单位养老支出(款)行政单位离退休(项)。年初预算 69.72 万元,支出决算100.73万元,完成年初预算的144.48 %。决算数与年初预算数的差异原因:一是行政在职人员到达法定年龄办理退休;二是机关事业单位工作人员基础绩效奖调标。

2.行政事业单位养老支出(款)事业单位离退休(项)。年初预算 53.46 万元,支出决算80.85万元,完成年初预算的151.23 %。决算数与年初预算数的差异原因:一是事业在职人员到达法定年龄办理退休;二是机关事业单位工作人员基础绩效奖调标。

3.行政事业单位养老支出(款)机关事业单位基本养老保险缴费支出(项)。年初预算 129.75 万元,支出决算137.85万元,完成年初预算的 106.24 %。决算数与年初预算数的差异原因:主要原因为调标、基础绩效奖录入工资,养老保险缴费基数上涨。

4.行政事业单位养老支出(款)机关事业单位职业年金缴费支出(项)。年初预算 24 万元,支出决算25.89万元,完成年初预算的 107.88 %。决算数与年初预算数的差异原因:行政事业单位退休职工职业年金做实。

5.民政管理事务(款)基层政权建设和社区治理(项)。年初预算 607.56 万元,支出决算713.76万元,完成年初预算的 117.48 %。决算数与年初预算数的差异原因:新增加社区工作人员。

(四)卫生健康支出(类)

卫生健康支出类决算数为158.27万元,与年初预算相比增加146.84万元。其中:

1.行政事业单位医疗(款)行政单位医疗(项)。年初预算 0.71 万元,支出决算148.99万元,完成年初预算的 209.85 %。决算数与年初预算数的差异原因:系统原因,不能调整支出功能分类,执行预算时,进行预算调整。

2.行政事业单位医疗(款)事业单位医疗(项)。年初预算 10.72 万元,支出决算0万元,完成年初预算的 0 %。决算数与年初预算数的差异原因:医疗保险均在行政单位医疗中进行核算。

3.行政事业单位医疗(款)公务员医疗补助(项)。年初预算 0 万元,支出决算0万元,完成年初预算的 0 %。决算数与年初预算数的差异原因:不存在此项内容。

4.公共卫生(款)突发公共卫生事件应急处理(项)。年初预算 0 万元,支出决算9.28万元,完成年初预算的 100 %。决算数与年初预算数的差异原因:使用上年结转结余疫情防控经费支付疫情防控相关支出,没有列入2022年乡镇预算。

(五)住房保障支出(类)

住房保障支出类决算数为963.91万元,与年初预算相比增加826.42万元。其中:

1.住房改革支出(款)住房公积金(项)。年初预算 137.49 万元,支出决算151.04万元,完成年初预算的 109.86 %。决算数与年初预算数的差异原因:主要原因为调标、基础绩效奖录入工资,住房公积金缴费基数上涨。

2.保障性安居工程支出(款)棚户区改造(项)。年初预算 0 万元,支出决算812.87万元,完成年初预算的 100 %。决算数与年初预算数的差异原因:大雁镇棚户区改造利息及本金,没有列入预算。

(六)国防支出(类)

国防支出类决算数为1.67万元,与年初预算相比增加1.67万元。其中:

1.国防动员(款)民兵(项)。年初预算 0 万元,支出决算1.67万元,完成年初预算的 100 %。决算数与年初预算数的差异原因:旗武装部拨入乡镇民兵工作经费,未列入年初预算。

(七)文化旅游体育与传媒支出(类)

文化旅游体育与传媒支出类决算数为15.57万元,与年初预算相比增加3.47万元。其中:

1.文化和旅游(款)其他文化和旅游支出(项)。年初预算 0 万元,支出决算3.47万元,完成年初预算的 100 %。决算数与年初预算数的差异原因:旗文体广电局拨入专项经费,未列入年初预算。

2.其他文化旅游体育与传媒支出(款)其他文化旅游体育与传媒支出(项)。年初预算 12.1 万元,支出决算12.1万元,完成年初预算的 100 %。决算数与年初预算数的差异原因:不存在此项内容。

(八)农林水支出(类)

农林水支出类决算数为541.24万元,与年初预算相比增加16.59万元。其中:

1.农业农村(款)科技转化与推广服务(项)。年初预算 248.94 万元,支出决算279.41万元,完成年初预算的 112.24 %。决算数与年初预算数的差异原因:主要原因为调标、基础绩效奖录入工资,人员工资及社保费增加。

2.农业农村(款)执法监管(项)。年初预算 275.71 万元,支出决算254.82万元,完成年初预算的 92.42 %。决算数与年初预算数的差异原因:一是人员调整变动;二是控制公用经费支出。

3.农业农村(款)病虫害控制(项)。年初预算 0 万元,支出决算7.01万元,完成年初预算的 100 %。决算数与年初预算数的差异原因:旗农科局拨入疫病防疫工作经费,未列入年初预算。

六、一般公共预算基本支出决算情况说明

内蒙古自治区呼伦贝尔市鄂温克族自治旗大雁镇人民政府部门2022年度一般公共预算财政拨款基本支出决算4,206.3万元,其中:

(一)人员经费2,544.55万元。主要包括:基本工资、津贴补贴、奖金、社会保障缴费、伙食补助费、绩效工资、其他工资福利支出、离休费、退休费、抚恤金、生活补助、医疗费、奖励金、住房公积金、提租补贴、其他对个人和家庭的补助支出等。

(二)公用经费1,661.75万元。主要包括:办公费、印刷费、咨询费、手续费、水费、电费、邮电费、取暖费、物业管理费、差旅费、维修(护)费、租赁费、会议费、培训费、公务接待费、专用材料费、劳务费、委托业务费、工会经费、福利费、公务用车运行维护费、其他交通费用、其他商品和服务支出、办公设备购置、专用设备购置、信息网络及软件购置更新、其他资本性支出等。

七、一般公共预算项目支出决算情况说明

内蒙古自治区呼伦贝尔市鄂温克族自治旗大雁镇人民政府部门2022年度一般公共预算财政拨款项目支出决算0万元,其中:

(一)工资福利支出0万元。主要包括:基本工资、津贴补贴、奖金、伙食补助费、绩效工资、机关事业单位基本养老保险缴费、职业年金缴费、职工基本医疗保险缴费、公务员医疗补助缴费、其他社会保障缴费、住房公积金、医疗费、其他工资福利支出等。

(二)商品和服务支出0万元。主要包括:办公费、印刷费、咨询费、手续费、水费、电费、邮电费、取暖费、物业管理费、差旅费、因公出国(境)费用、维修(护)费、租赁费、会议费、培训费、公务接待费、专用材料费、被装购置费、专用燃料费、劳务费、委托业务费工会经费、福利费、公务用车运行维护费、其他交通费用、税金及附加费用、其他商品和服务支出等。

八、财政拨款“三公”经费支出决算情况说明

(一)财政拨款“三公”经费支出总体情况说明。

内蒙古自治区呼伦贝尔市鄂温克族自治旗大雁镇人民政府部门 2022年度财政拨款“三公”经费预算95.35万元,支出决算60.11万元,完成预算的63.04%。其中:因公出国(境)费预算0万元,支出决算0万元,完成预算的0%;公务用车购置及运行维护费预算84.95万元,支出决算55.13万元,完成预算的64.9%;公务接待费预算10.4万元,支出决算4.98万元,完成预算的47.88%。2022年度财政拨款“三公”经费支出决算与预算差异原因:一是我单位强化预算约束能力,压缩“三公”经费支出;二是严格遵守八项规定政策及相关制度规定,严格控制“三公”经费支出;三是公务用车、公务接待审批流程,严控公务用车及公务接待支出。

(二)财政拨款“三公”经费支出具体情况说明。

内蒙古自治区呼伦贝尔市鄂温克族自治旗大雁镇人民政府部门2022年度财政拨款“三公”经费支出60.11万元。因公出国(境)费支出0万元,占0%;公务用车购置及运行维护费支出55.13万元,占91.71%;公务接待费支出4.98万元,占8.29%。其中:

1.因公出国(境)费支出0万元,全年出国(境)团组0个,累计0人次。与上年决算相比,增加0万元,增长0%,变动原因:不存在此项内容。

2.公务用车购置及运行维护费支出55.13万元。其中:

(1)公务用车购置支出0万元。本年度使用财政拨款购置公务用车0辆,开支内容:不存在此项内容。与上年决算相比,增加0万元,增长0%,变动原因:不存在此项内容。

(2)公务用车运行维护费支出55.13万元。公务用车运行维护费主要用于按规定保留的公务用车的燃料费、维修费、过桥过路费、保险费、安全奖励费用等支出。截至2022年12月31日,使用财政拨款开支的公务用车保有量为13辆。与上年决算相比,增加25.77万元,增长87.77%,变动原因:2022年已恳林地修复专项工作增加公务用车运行维护费支出。

3.公务接待费支出4.98万元。其中:国内公务接待支出4.98万元,接待182批次,1,478人次,开支内容:机关食堂接待上级部门检查、退耕还林、疫情防控等工作用餐。国(境)外公务接待支出0万元,接待0批次,0人次,开支内容:不存在此项内容。与上年决算相比,增加2.54万元,增长103.64%,变动原因:机关食堂接待上级部门检查、退耕还林、疫情防控等工作用餐。

九、政府性基金预算财政拨款支出决算情况说明

内蒙古自治区呼伦贝尔市鄂温克族自治旗大雁镇人民政府部门2022年度政府性基金支出决算1,168.77万元。与上年决算相比,增加1,168.77万元,增长0%,变动原因:偿还大雁镇2017年棚户区改造三期银行贷款本金及利息资金。其中:

城乡社区支出(类)国有土地使用权出让收入安排的支出(款)棚户区改造支出(项)支出 1168.77 万元,主要用于偿还大雁镇2017年棚户区改造三期银行贷款本金及利息资金。

十、国有资本经营预算财政拨款支出决算情况说明

内蒙古自治区呼伦贝尔市鄂温克族自治旗大雁镇人民政府部门2022年度国有资本经营预算支出决算0万元。与上年决算相比,减少-206.56万元,减少-100%,变动原因:本年无国有资本经营预算财政拨款收、支、余。

十一、项目支出决算情况说明

内蒙古自治区呼伦贝尔市鄂温克族自治旗大雁镇人民政府部门2022年度预算安排项目1  个,实施项目1  个,完成项目1  个,项目支出总金额1,168.77万元。资金来源包括年初结转结余0万元,本年财政拨款金额1,168.77万元,本年其他资金0万元。

十二、机构运行经费支出决算情况说明

内蒙古自治区呼伦贝尔市鄂温克族自治旗大雁镇人民政府部门2022年度机构运行经费支出决算1,661.75万元。比上年决算相比,增加125.79万元,增长8.19%,变动主要原因:棚户区改造工程偿还贷款本金增加150.87万元。

十三、政府采购支出决算情况说明

内蒙古自治区呼伦贝尔市鄂温克族自治旗大雁镇人民政府部门2022年度政府采购支出总额159.69万元,其中:政府采购货物支出52.86万元、政府采购工程支出0万元、政府采购服务支出106.83万元。政府采购授予中小企业合同金额0万元,占政府采购支出总额的 0 %,其中:授予小微企业合同金额0万元,占政府采购支出总额的 0 %;货物采购授予中小企业合同金额占货物支出金额的 0  %,工程采购授予中小企业合同金额占工程支出金额的 0 %,服务采购授予中小企业合同金额占服务支出金额的 0 %。

十四、国有资产占用情况说明

内蒙古自治区呼伦贝尔市鄂温克族自治旗大雁镇人民政府部门截至2022年12月31日,本部门共有车辆13辆,其中:副部(省)级及以上领导用车0辆、主要领导干部用车2辆、机要通信用车1辆、应急保障用车0辆、执法执勤用车0辆、特种专业技术用车0辆、离退休干部用车0辆,其他用车10辆;单价100万元(含)以上的设备(不含车辆)0台(套)。

十五、预算绩效情况说明

(一)预算绩效管理工作开展情况。

内蒙古自治区呼伦贝尔市鄂温克族自治旗大雁镇人民政府部门根据预算绩效管理要求组织对2022年一般公共预算项目支出全面开展绩效自评,其中一级项目 0   个,二级项目  0  个,共涉及资金0万元,占一般公共预算项目支出总额的100%;政府性基金预算项目  0  个,其中,一级项目  0  个,二级项目    个,共涉及资金  0  万元,占应纳入绩效自评的政府性基金预算项目支出总额的100%。(我单位暂未实施绩效管理)。

组织对“A项目”、“B项目”、“C项目”等  0  个项目开展了部门评价(此处即为重点评价内容),涉及一般公共预算支出  0  万元,政府性基金支出 0   万元。(我单位暂未实施绩效管理)。其中,对“A项目”、“B项目”、“C项目”等项目分别委托相关第三方机构开展绩效评价。从评价情况看,以上项目......(我单位暂未实施绩效管理)。

(二)部门决算中项目绩效自评结果。

内蒙古自治区呼伦贝尔市鄂温克族自治旗大雁镇人民政府部门2022年度在决算中反映  0  个一般公共预算项目,以及  0  个政府性基金项目,共  0  个项目的绩效自评结果。(我单位暂未实施绩效管理)

1.项目自评综述:根据年初设定的绩效目标,项目自评得分    分。全年预算数为  0  万元,执行数为  0  万元,完成预算的  0  %。项目绩效目标完成情况:(我单位暂未实施绩效管理)。发现的主要问题及原因:(我单位暂未实施绩效管理)。下一步改进措施:(我单位暂未实施绩效管理)。

2.项目自评综述:

(我单位暂未实施绩效管理)

(三)部门项目绩效评价结果。

以A项目为例,该项目绩效评价综合得分为    分,绩效评价结果为“优”。重点项目绩效评价得分情况详见部门具体绩效评价结果。(我单位暂未实施绩效管理)

第三部分 名词解释

一、财政拨款收入:从同级财政部门取得的各类财政拨款,包括一般公共预算财政拨款、政府性基金预算财政拨款、国有资本经营预算财政拨款。

二、上级补助收入:指事业单位从主管部门和上级单位取得的非财政补助收入。

三、事业收入:指事业单位开展专业业务活动及其辅助活动取得的收入。

四、经营收入:指事业单位在专业业务活动及其辅助活动之外开展非独立核算经营活动取得的收入。

五、附属单位上缴收入:指事业单位附属独立核算单位按照有关规定上缴的收入。

六、其他收入:取得的除上述“财政拨款收入”、“上级补助收入”、“事业收入”、“经营收入”、“附属单位上缴收入”等以外的各项收入。

七、使用非财政拨款结余:指事业单位按照预算管理要求使用非财政拨款结余弥补当年收支差额的数额。

八、年初结转和结余:指单位上年结转本年使用的基本支出结转、项目支出结转和结余、经营结余。

九、结余分配:指事业单位按规定缴纳的所得税以及从非财政拨款结余中提取各类结余的情况。

十、年末结转和结余资金:指单位结转下年的基本支出结转、项目支出结转和结余、经营结余。

十一、基本支出:指为保障机构正常运转、完成日常工作任务所发生的支出,包括人员经费和公用经费。

十二、项目支出:指在为完成特定的工作任务和事业发展目标所发生的支出。

十三、上缴上级支出:指事业单位按照财政部门和主管部门的规定上缴上级单位的支出。

十四、经营支出:指事业单位在专业业务活动及其辅助活动之外开展非独立核算经营活动发生的支出。

十五、对附属单位补助支出:指事业单位用财政拨款收入之外的收入对附属单位补助发生的支出。

十六、“三公”经费:指部门用财政拨款安排的因公出国(境)费、公务用车购置及运行维护费和公务接待费。其中,因公出国(境)费反映部门)公务出国(境)的国际旅费、国外城市间交通费、住宿费、伙食费、培训费、公杂费等支出;公务用车购置及运行维护费反映部门公务用车购置支出(含车辆购置税、牌照费)以及按规定保留的公务用车燃料费、维修费、过路过桥费、保险费、安全奖励费用等支出;公务接待费反映部门按规定开支的各类公务接待(含外宾接待)费用。

十七、机构运行经费:指部门使用一般公共预算安排的基本支出中的日常公用经费支出,包括办公及印刷费、邮电费、差旅费、会议费、福利费、日常维修费、专用材料及一般设备购置费、办公用房水电费、办公用房取暖费、办公用房物业管理费、公务用车运行维护费及其他费用等。

第四部分 决算公开联系方式及信息反馈渠道


本单位决算公开信息反馈和联系方式:

联系人:王晶          联系电话:0470-8601548